728x90
반응형
▷ 문제
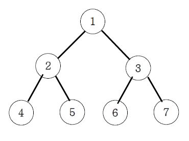
아래 그림과 같은 이진트리를 레벨탐색 연습하세요.

레벨 탐색 순회 출력 : 1 2 3 4 5 6 7
▷ 풀이
import java.util.LinkedList;
import java.util.Queue;
class Node{
int data;
Node lt, rt;
public Node(int data){
this.data = data;
lt = rt = null;
}
}
public class Main {
Node root;
public void BFS(Node root){
Queue<Node> queue = new LinkedList<>();
queue.add(root);
int L = 0;
while(!queue.isEmpty()){
int len = queue.size();
System.out.print(L + " : ");
for(int i=0; i<len; i++){
Node cur = queue.poll();
System.out.print(cur.data + " ");
if(cur.lt != null) queue.add(cur.lt);
if(cur.rt != null) queue.add(cur.rt);
}
L++;
System.out.println();
}
}
public static void main(String[] args){
Main tree = new Main();
tree.root = new Node(1);
tree.root.lt = new Node(2);
tree.root.rt = new Node(3);
tree.root.lt.lt = new Node(4);
tree.root.lt.rt = new Node(5);
tree.root.rt.lt = new Node(6);
tree.root.rt.rt = new Node(7);
tree.BFS(tree.root);
}
}반응형
'Algorithm > DFS, BFS basic - Recursive, Tree, Graph' 카테고리의 다른 글
| [알고리즘 문제]말단노드까지의 가장 짧은 경로 - BFS (0) | 2021.11.06 |
|---|---|
| [알고리즘 문제]송아지 찾기 - BFS (1) | 2021.11.06 |
| [알고리즘 문제]부분집합 구하기 - DFS (0) | 2021.11.05 |
| [알고리즘 문제]이진트리 순회(전위순회, 후위순회) - DFS (0) | 2021.11.05 |
| [알고리즘 문제]재귀함수를 이용한 피보나치 수열 출력 - DFS (0) | 2021.11.04 |